안녕하세요, 청년안심주택 길동생활입니다.
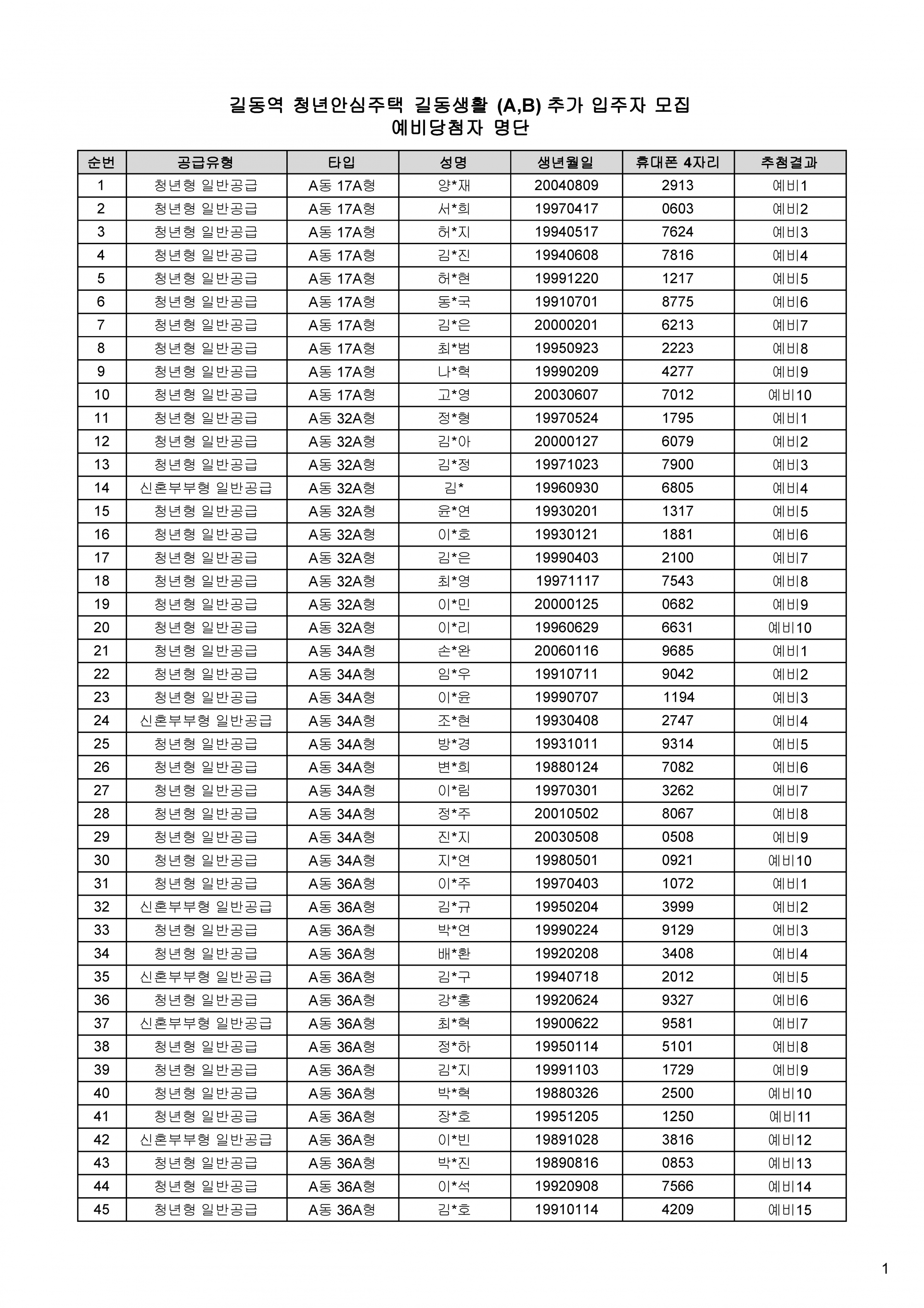
길동생활 A/B 동 추가 입주자 모집공고(2025.10.02.)에 따른 당첨자 및 예비당첨자 명단을 공지합니다.
본문에 첨부한 당첨자 및 예비당첨자 명단 파일을 참고 바랍니다.
* 당첨자 및 예비당첨자는 개인정보 보호를 위해 "청약자명(2번째 자리 별표 처리)-생년월일-휴대폰 뒷자리 4자리" 형식으로 표시합니다.
* 당첨호실은 개인정보 보호를 위하여 당첨자에 한해 개별 문자로 안내
[관련 일정 안내]
1) 서류 사본 제출 (이메일) : 2025.10.17.(금)~2025.10.26.(일)
서류 제출 안내 : 바로가기 (클릭)
2) 주택투어 및 원본서류제출(방문/우편) : 2025.10.27.(월)~2025.10.31.(금)
3) 계약 체결 : 2025.10.27.(월)~2025.10.31.(금)
→ 단, 해당기간 이후 입주 가능 호실은 공실 전환 이후 주택투어 및 계약체결 선택 가능 (같은 유형 호실로 주택투어 후 미리 계약체결도 가능하며, 원본서류는 기존 일정대로 제출하여야 합니다)
4) 입주 : 2025.11.03.(월)~2025.12.15.(월), 오전 10시~오후 17시
→ 단, 입주지정기간 이후 입주 가능 호실은 개별 입주지정기간을 안내
※ 서류 제출 및 문의 메일 : gildonglife@ibookee.kr
※ 서류검토 과정에서 중복 신청으로 확인되는 경우 당첨이 취소됩니다.
※ 입주를 포기하시는 경우 다음 예비자를 위하여 반드시 메일로 입주 포기 의사를 남겨주시기 바랍니다. (입주 포기 메일 작성 시, 본인임을 확인할 수 있는 성명과 연락처를 포함하여 작성하여 주시기 바랍니다)
감사합니다.
※예비당첨자는 현 시점에 서류를 제출하지 않으셔도 됩니다. 미계약 호실에 예비순번대로 당첨자가 배정되면 이후 개별적으로 서류 제출과 관련된 안내를 드릴 예정입니다.




안녕하세요, 청년안심주택 길동생활입니다.
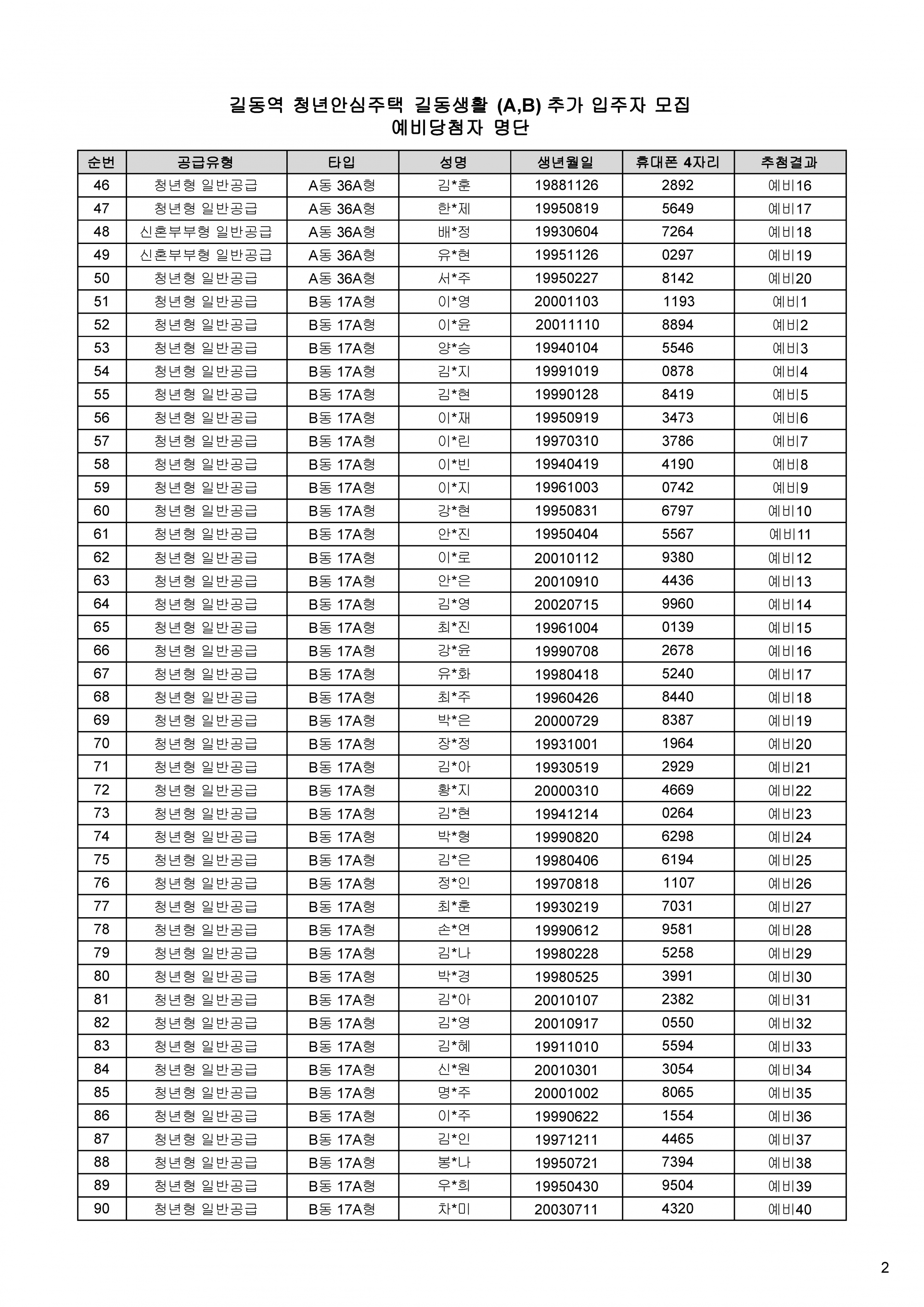
길동생활 A/B 동 추가 입주자 모집공고(2025.10.02.)에 따른 당첨자 및 예비당첨자 명단을 공지합니다.
본문에 첨부한 당첨자 및 예비당첨자 명단 파일을 참고 바랍니다.
* 당첨자 및 예비당첨자는 개인정보 보호를 위해 "청약자명(2번째 자리 별표 처리)-생년월일-휴대폰 뒷자리 4자리" 형식으로 표시합니다.
* 당첨호실은 개인정보 보호를 위하여 당첨자에 한해 개별 문자로 안내
[관련 일정 안내]
1) 서류 사본 제출 (이메일) : 2025.10.17.(금)~2025.10.26.(일)
서류 제출 안내 : 바로가기 (클릭)
2) 주택투어 및 원본서류제출(방문/우편) : 2025.10.27.(월)~2025.10.31.(금)
3) 계약 체결 : 2025.10.27.(월)~2025.10.31.(금)
→ 단, 해당기간 이후 입주 가능 호실은 공실 전환 이후 주택투어 및 계약체결 선택 가능 (같은 유형 호실로 주택투어 후 미리 계약체결도 가능하며, 원본서류는 기존 일정대로 제출하여야 합니다)
4) 입주 : 2025.11.03.(월)~2025.12.15.(월), 오전 10시~오후 17시
→ 단, 입주지정기간 이후 입주 가능 호실은 개별 입주지정기간을 안내
※ 서류 제출 및 문의 메일 : gildonglife@ibookee.kr
※ 서류검토 과정에서 중복 신청으로 확인되는 경우 당첨이 취소됩니다.
※ 입주를 포기하시는 경우 다음 예비자를 위하여 반드시 메일로 입주 포기 의사를 남겨주시기 바랍니다. (입주 포기 메일 작성 시, 본인임을 확인할 수 있는 성명과 연락처를 포함하여 작성하여 주시기 바랍니다)
감사합니다.
※예비당첨자는 현 시점에 서류를 제출하지 않으셔도 됩니다. 미계약 호실에 예비순번대로 당첨자가 배정되면 이후 개별적으로 서류 제출과 관련된 안내를 드릴 예정입니다.